d481. 矩陣乘法
標籤 : 矩陣乘法
通過比率: 1277人/ 1601人 ( 80%) [非即時]
評分方式:
Tolerant

最近更新 : 2011-11-02 21:03

內容

        矩陣相乘最重要的方法當然是一般矩陣乘積了,它只有在第一個矩陣的列數 (column)和第二個矩陣的行數(row)相同時才有定義。一般單指矩陣乘積時,指的便是 一般矩陣乘積。若 A 為 m×n 矩陣,B 為 n×p 矩陣,則他們的乘積 AB(有時記做A · B)會是  一個 m×p 矩陣。其乘積矩陣的元素如下面式子得出:

 

以上是用矩陣單元的代數系統來說明這類乘法的抽象性質。


由定義直接計算


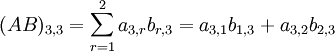
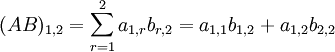
左邊的圖表示出要如何計算 AB 的 (1,2) 和 (3,3) 元素,當 A 是個 4×2 矩陣和 B 是個 2×3 矩陣時。分別來自兩個矩陣的元素都依箭頭方向而兩兩配對,把每一對中的兩個元素相乘,再把這些乘積加總起來,最後得到的值即為箭頭相交位置的值。

內容來源:矩陣乘法



每組測資有 2 個矩陣,請把他們相乘之後的結果輸出
輸入說明

輸入數據不會超過 231-1

兩矩陣大小不超過 100 * 100 

 

每組測資第一行四個數字 a b c d

代表第一個矩陣有 a 列 b 行

  第二個矩陣有 c 列 d 行

接下來 a 行,每行 b 個數字

    c 行,每行 d 個數字 

每個數字以空白隔開 

不懂請參考範例輸入 

輸出說明

輸出相乘之後的矩陣

每個數字以空白隔開 

兩矩陣不能相乘請輸出 Error 再換下一組測資 ( 不用讀取矩陣 )

範例輸入 #1
3 2 2 3
1 2
3 4
5 6
1 2 3
4 5 6
1 2 3 4
範例輸出 #1
9 12 15
19 26 33
29 40 51
Error
測資資訊:
記憶體限制: 512 MB
公開 測資點#0 (100%): 1.0s , <1M
提示 :
感謝 unlin 的指正,現測資已經修正並全部重測
標籤:
矩陣乘法
出處:
[管理者: example (學姊) ]

本題狀況 本題討論 排行

編號 身分 題目 主題 人氣 發表日期
44997 My2020Java (Java練習生) d481
題目陷阱
344 2025-01-01 14:28
18872 k487237 (chenchen) d481
2441 2019-08-10 17:46