k392. 分段函數
Tags :
Accepted rate: 120人/ 125人 ( 96%) [非即時]
評分方式:
Tolerant

最近更新 : 2023-04-22 16:19

Content

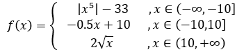
設計以下分段函數,用戶能夠提供x值進行函數求值。

Input

實數x的值

Output

f(x)的值(精確至小數點後1位)

Sample Input #1
-10
Sample Output #1
99967.0
測資資訊:
記憶體限制: 64 MB
不公開 測資點#0 (100%): 1.0s , <1K
Hint :
Tags:
出處:
[管理者: 1450840-0@g. ... (肥余好朋友) ]

Status Forum 排行

ID User Problem Subject Hit Post Date
35666 1452945-9@g. ... (sandy koya) k392
作者抄題
560 2023-06-11 15:44
35664 1360467-8@g. ... (三國迷李牧粉) k392
451 2023-06-11 14:25